본문 바로가기

카테고리 없음

[수학 칼럼] 도형에서 막혔을 때

출처 : https://orbi.kr/00068074905

 

[수학 칼럼] 도형에서 막혔을 때 - 오르비

안녕하세요!  어제 올린 게시글이 제 생각보다 많이 읽으셨더라구요.. (감사합니다) 그래서 과외준비하다가 하나 더 작성해보게 되었습니다! 오늘은 무려 정답률 2퍼센트를 기록한 이번 5모 21번

orbi.kr

 

안녕하세요! 

어제 올린 게시글이 제 생각보다 많이 읽으셨더라구요.. (감사합니다)

그래서 과외준비하다가 하나 더 작성해보게 되었습니다!

 

오늘은 무려 정답률 2퍼센트를 기록한 이번 5모 21번 문제를 가지고 도형문제에대한 이야기를 해볼까 하는데요,

 

여러분들은 도형문제를 풀 때 어떻게 푸시나요?

주어진 길이, 각을 이용해서 사인법칙 코사인법칙 등등 써보고, 보조선도 그어보고, 이것저것 해보다가 답이 나오면 나왔다! 하시지 않나요?? (물론 저또한 처음엔 보이는대로 이것저것 구해보면서 답 나오면 장땡입니다 ㅎㅎ)

 

하지만 문제는, 이것저것 해보다가 더이상 해볼건 없고,  뭔가 구했던것만 계속 구하는것 같은 빙빙 도는 느낌을 받으면서 답은 안나오는 상황인 것 같습니다.

 

이 상황에서 하는 말은 대부분 "안보였다" 라는 것 같습니다. 

 

그리고 특히 도형문제는 해설지를 보면, 해설지 자체를 이해를 못하는 사람은 거의 없을 겁니다. ‘이걸못봤네! 여기서 이걸 써야했구나!’ 하고 바로 깨달음을 얻죠.

 

 

오늘 해볼 이야기는 어떤상황에서 어떤공식을 써야하는지 등등.. 이런 행동강령의 측면이 아니라,

 

도형문제를 풀다가 ‘막혔을 때’ 뚫어내는 ‘태도’의 측면을 한번 이야기 해볼까 합니다.

 

 

‘위치가 고정된 점’은, 거기에 있을 수 밖에 없는 이유가 있다! 

 

이 생각이 제가 도형을 풀다가 막혔을 때 하는 생각입니다.

 

중간에 막혀서 더이상 뭘 해야할 지 몰라 진전이 안될 때, 내가 놓친 조건이 무엇인지 확인하는 좋은 태도는 

 

시험지에 그려진 그림을 수동적으로 받아들이면서 뚫어지게 쳐다보는것이 아니라, ‘왜 이 점이 아무데나 있으면 안되는걸까?’ 하는 생각으로 접근해보는 것입니다.

 

막혔을 때는 시험지에 찍힌 점에게 물어봅시다.

‘너는 왜 거기에 있어야 하니?’

 

..너무 막연한소리인것 같으니 문제를 통해 예시를 들어보도록 하겠습니다.

 

#20240521

**여기서 원의 나머지를 그린다음 반원을 활용하는 방법도 있지만, 그 방법이 생각나지 않았다고 가정하고 있는 그대로 독해해보도록 하겠습니다.

(물론 원의 나머지를 그려서 이용하는 방법은 여태 기출에서 매우 유리하게 작용해왔습니다. 꼭 챙겨가도록 합시다)

 

 

[Step 1]

첫번째 독해입니다. 점 C의 위치는 어디에 있어야만 할까요?

 

1-1) C는 호AB 위에 있어야 한다

1-2) AC=4√2 이다.

 

이를 만족하는 점 C는 유일하고, C의 위치는 한점으로 고정됩니다.

 

 

[Step 2]

 

두번째 독해입니다.

D는 호 AC 위에 존재한다네요. 호 AC위의 수많은 점들중, 점 D의 위치를 한곳으로 고정시키는 조건은 무엇일까요?

 

2-1) D는 호 AC위에 있어야 한다

2-2) 삼각형CED의 외접원의 반지름은 3√2 이다.

 

또한, E의 위치를 한곳으로 고정시켜주는 조건은 무엇일까요?

 

2-3) DE는 OA와 평행하다.

2-4) EC는 AC와 수직이다.

 

주어진 조건을 그냥 시험지에 그려진 그림대로 받아들이는것이 아니라, 각 점을 고정시켜주는 조건이 뭔지 꼼꼼하게 놓치지말고 뽑아내야 합니다.

 

점 D의 고정조건부터 생각해보도록 하겠습니다.

 

삼각형 CD1E1, CD2E2, CD3E3 ,,,, D와 E의 위치가 바뀌면 삼각형의 모양도 바뀌는 것 같습니다.

이런 수많은 후보들 중에, 외접원의 반지름이 3√2가 되려면 무얼 만족해야 할까요..?

외접원의 반지름이 주어졌으니, 당연히 사인법칙을 이용하고 싶긴 합니다.

 

 

그러나 삼각형 CED를 봤더니, D와 E가 고정되어 있지 않아 길이도 모르고, 각도 모르는 상태입니다.

그렇다고 CED의 외접원을 직접 그려 반지름 3√2를 다이렉트로 이용할 생각을 하니, 직각도 없어서 원의 중심이 한변 위에 있지도 않아 쓰기가 너무 싫습니다.

 

 

그럼 점 E의 고정조건이 무엇인지 확인하러 갑시다.

 

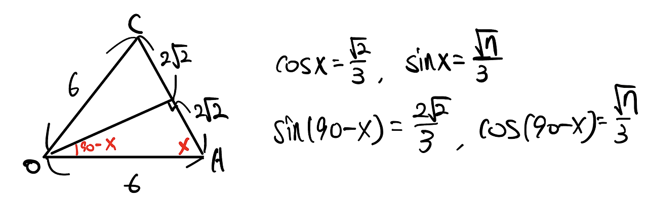
DE는 OA와 평행이라고 하네요. E가 될 수 있는 점들 중, 굳이 ‘평행’ 정보를 준 이유가 무엇일까요?

 

“평행 = 각의정보 = 동위각, 엇각” 입니다. 평행하다는것 만으로는 길이정보를 전혀 주지 않기 때문에, 무조건 각의 정보로 받아들이셔야 합니다. 기를쓰고 동위각, 엇각이 있나 찾아봅시다.

 

 

여기서 가능한 모든 E의 후보들중, 각CED=90-X 로 모두 같다는 것을 알 수 있습니다.

 

그리고 표시한 각들을 써먹을 수 있으려면, 단순히 같다는 것 뿐만 아니라 정확한 각X 또는 각90-X 를 알아야 합니다. 

(여기서 각=사인or코사인or탄젠트 값입니다)

 

구할 수 있는 각이 있을까요? OA,OC,AC의 길이를 다 알기 때문에, 각X를 구할 수 있습니다. 심지어 이쁜 이등변삼각형이군요.

 

 

 

그치만 아직도 D와 E의 위치는 고정되지 않았습니다. 대체 문제가 원하는 상황을 만족하려면, D와 E는 어디에 있어야만 할까요?

 

다시 삼각형 CED로 돌아오면, 아까는 아는 각이 하나도 없어 쓰지 못했던 사인법칙을 쓸 수 있게 되었습니다.

 

 

 

다시, D가 있어야 할 위치를 정리해보면 다음과 같습니다. 이제 D의 위치는 완벽히 고정되었습니다.

 

 

 

[Step 3]

마지막 단계입니다.

 

D의 위치가 고정됨에 따라, 삼각형 ADC도 정해졌습니다. 즉, ‘조건을 만족하는 유일한’ 삼각형이고, 모든 각과 길이는 정해져 있습니다 (우리가 모를 뿐..)

 

저희는 지금 AC, DC 의 길이밖에 모릅니다.

 

사실 두 변의 길이가 4√2, 4 인 삼각형은 정말 무수히 많습니다.

 

이 많은 삼각형 중 AD의 길이를 하나로 고정해주는 조건이 무엇일까요? 점 D, 점C, 점A가 마음대로 움직이지 못하는 이유가 무엇일까요?

 

-> 점 A,D,C는 반지름이 6인 하나의 원 위에 놓여있기 때문입니다.

 

 

원위에 있다는 사실이 세 점을 고정시켜주고 있기 때문에, 

어떻게든 원의 성질(원주각, 중심각, 원위의점과 중심까지의 길이 등등..)을 써봐야겠습니다.

 

 

AD의 길이를 직접 구할 수 있을까요?

원에 내접하는 삼각형의 두 길이를 알 때, 나머지 한 변의 길이를 알아내는 공식.. 은 없는것 같네요

 

 

대신 각을 통해 길이를 알아낼 수 있는 다른 공식인 사인법칙, 코사인법칙이 있습니다.

어떻게든 원주각, 중심각을 이용하여 세 각중 하나를 알아내기만 하면 끝입니다.

 

 

3-1) 각 C를 활용하여 사인법칙을 이용하겠단 일념입니다. 그런데 원주각, 중심각을 아무리 활용해도 각 C를 구할 길이 없어보입니다. 생각해보니 각 C를 애초에 구할 수 있었으면 여태껏 한게 모두 뻘짓이 됩니다.

 

3-2,3)  결국 각 D나 A를 원주각, 중심각을 활용해 찾아낸다면(혹은 사인법칙으로 sinA, sinD를 찾아낸다면) 코사인법칙을 써서 AD를 구해주면 끝이납니다. 

(끝까지 계산 더러운게 킬포)

 

 

 

물론 제가 지금까지 한 방식대로 시험장에서 처음부터 끝까지 엄밀하게 하라는 말은 아닙니다.

실제로 저도 각이 눈에 바로 들어오거나, 이거 구하고 저거 구하면 대충 풀리겠네 하면 그냥 바로 들어갑니다.

 

지금 한 설명들은 풀다가 도중에 막혔을때, 어떤 생각을 해보면 좋을까 제 생각의 흐름을 써 본 것이고

 

사람마다 지점은 다 다르겠지만 중간에 막히셨던 분들은 본인이 막힌 부분에서 저의 생각과 비교해보시면 될 것 같습니다.

 

과외가 아니라 불특정다수가 보는 글이기때문에 저는 처음부터 끝까지 생각을 쭉 써봤습니다!

 

 

결국 제생각은, 도형문제를 풀다가 막혔을때, 내가 어떤걸 빼먹고 못써먹었는지를 체크하는데 가장 좋은 방법은

 

‘위치가 고정된 점’은, 거기에 있을 수 밖에 없는 이유가 있다! 라는 사실을 한번 되새기고, 

 

왜 이점이 여기 있을수밖에 없나 체크하는 것 같습니다.

 

 

앞으로 도형문제를 공부하다가 안풀리는 경우가 있다면 바로 해설지를 보러 가는 것 보다는

 

문제에서 그려준 그림 말고 스스로 조건을 독해해보면서 직접 다시 그려나가다 보면 

 

‘아! 이 조건 때문에 얘가 여기있을 수 있는거였는데, 내가 이걸 빼먹었구나!’ 하고 보일 때가 많은 것 같습니다.

 

 

긴 글 읽어주셔서 감사드립니다. 

저도 현재 수험생의 입장이고, 정말 goat의 수준도 아니긴 하지만.. 그래도 혼자 분석해보는걸 좋아해서 생각을 같이 나눠보자는 의미에서 써보게 되었습니다.

 

5모에관한 글은 이것으로 끝내고, 다음에 기회가 된다면 또 다른주제로 한번 찾아오겠습니다

 

 

마지막에 잡설이 좀 길었네요.. 읽어주셔서 다시한번 감사합드립니다!